صفحه نخست
دسته بندی محصولات
شلوار
مانتو
تیشرت
شومیز
کت
صندل
اورال
تاپ
تونیک
پیراهن
مجلسی
شرتک
ست اسپرت
کت و شلوار
ست
پیراهن مردونه
دورس
هودی
جاگر
بافت
پالتو
کاپشن
بارونی
سیوشرت
قلاب بافی
پلیور
کراپ
بادی
کفتان
ست خونگی
دامن
شکت
ژیله
بامبر
ترنچ کت
سفارشات من
پیگیری سفارشات
سفارشات رزرو شده
درباره ما
تماس با ما
فروش ویژه
سبد خرید
جستجو
مزون یلدا
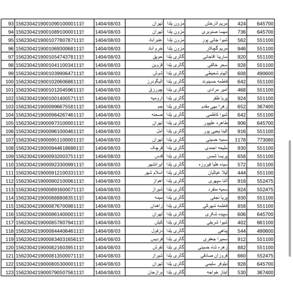
رسید های مرسولات پستی ارسال شده
رسید های مرسولات پستی ارسال شده تاریخ 1404/08/01